Analytic Matrix Inverse

While scanning a Wikipedia article, I ran across the following formula for the matrix inverse of a matrix q:

where q ce is an element in the c row and e column of the matrix q and the a, b element of the inverse matrix,q -1, is denoted q ab. We adopt lowered indices as a convention throughout this post.

The Levi-Civita symbol in three dimensions has the following properties:

The product of Levi-Civita symbols in three dimensions have these properties:

which generalizes to:

in n dimensions, where each i or j varies from 1 through n. There are n! / 2 positive and n! / 2 negative terms in the general case. Note the cyclic indicial relationships between terms and the two groupings of terms.

In both cases, the vertical bars represent the operation of taking the determinant of the enclosed matrix of Kronecker Deltas. The determinant for an arbitrary 3 by 3 matrix is:

The Kronecker Delta has these properties:

and, for any vector, a:

The determinant of a matrix A, assumed to be non-singular, has a structure similar to the inverse itself:

or, in general, assuming repeated indices are summed from 1 to n (i.e., the Einstein summation convention):

Other properties of matrix determinants are:

where the transpose of A, AT,indicates a swap between A’s rows and columns.

Note that this implies:

and

The matrix inverse has the following properties:

and

where the adjugate, adj(A), equals the transpose of the cofactor matrix, C, which, in turn, equals the signed minor matrix M.

In index notation, we have:

In all my previous analysis, I’ve always wanted a general analytic formulation for a matrix inverse. From the notation and properties above, we have:

with Einstein summation and det(A) defined above. Another method, called the Cayley-Hamilton method, also provides an analytic expression but requires solving a linear Diophantine equation. This calculation can be expedited using the Faddeev-LeVerrier algorithm. Note that our expression involves no implicit calculations.

The expression for A -1  is derived starting from:

Regrouping terms, recognizing that n = δcc, and redefining summed indices, we get:

or

Because the matrix inverse, expressed using indices, is defined to be:

we can then make the identification:

and know that this expression for A -1 is unique.

From this and the adjugate definition above we see that the adjugate of A is:

The cofactors of A are:

and the minors of A are:

There are  n 2n elements of ɛi11nɛj1jn, of which (n!) 2 are non-zero. There are therefore ((– 1)!) 2 non-zero terms in the numerator of each matrix element A -1, which reduce to (– 1)! terms after identifying like terms. There are (n!) 2 terms in the determinant of A, but they reduce to n! unique terms. These generalizations are easily derived by induction from the n = 2 and 3 cases. The following graph shows how these estimates trend for n = 2 through 10:

The following graph shows that the analytic formulation is not a ready replacement for purely numerical methods used in real-time processes:

We used n 3 / 3 + 2n 2 – 1/3 n for the Cholesky Decomposition method cost based on computations outlined in Numerical Recipes: The Art of Scientific Computing and n 3 n! + 2n 2 + 2 for our analytic method cost.

In the Cholesky Decomposition, there are only n diagonal terms and n(n – 1) / 2 off diagonal elements that are non-zero (i.e., the other non-diagonal elements are identically zero.) The diagonal elements, in aggregate, sum n(n – 1) / 2 terms consisting of single multiplies, subtract n terms, and take n square roots. The off-diagonal terms sum, in aggregate, sum n(n – 1)(4n+ 10) / 12 terms consisting of single multiplies, subtract n(n – 1) / 2 terms, and make n(n – 1) / 2 divisions.

In the analytic method, the determinant sums two groups of n! / 2 terms, each consisting of n multiplies per term, subtracts one group from the other, and divides by a predetermined constant. Each of the n 2 inverse matrix elements sum two groups of (n – 1)! / 2 terms (after identifying similar terms,) where each consists of (n – 1) multiplies per term. The inverse elements negate one of the groups, add the groups together, and divide by a constant (i.e., the previously computed determinant.)

From the two charts, the exact analytic inverse is well-suited for low dimension (  ≤ 3) analyses and modeling.

If the matrix is block decomposable, then block inversion may provide suitably small matrices with which to employ the analytic formula. Blockwise inversion is performed using either:

or

where A is square and A and (ABD -1 C) -1 or (DCA -1 B) -1 are non-singular. If the matrix is not square, then the Moore-Penrose pseudoinverse is appropriate.

Envisioning the Third Offset — Conflict in the South China Sea

This morning’s briefer couldn’t have been more direct. The mission was to hold at risk one of three ballistic missile submarines now at sea and destroy it if necessary. The strategic situation was the result of pressures that had built up since Deng Xiaoping led the Peoples’ Republic to market reforms. Many oligarchs had much to lose, especially those of the PLAN. They recently toppled Xi Jinping and most of his hand-picked Politburo members. The usurpers then went on the offensive regionally to distract attention from their internal power consolidations. Peace talks were underway in Geneva.

The strike flight leader, Major Cole, and his copilot, Captain Work, took off from Whiteman AFB in an B-42, a long-range, arsenal craft. The flight repeatedly refueled and acquired assets in its transit from Missouri to the OPAREA just inside the First Island chain over the South China Sea. Their first acquisition was five unmanned F-16s from Beale AFB. One by one, these automatically signed in with the arsenal craft, exchanged status, mission, and sensor data, and fell into an aerodynamic flight profile.

The F-16s were remanufactured. Each was augmented with an upgraded multifunction AESA radar, additional C3ISR sensors and transceivers, and offensive and defensive countermeasures of various types and capabilities. The wings were lengthened and shaped for extended range, greater strength, and enhanced stealth. New low maintenance coatings further reduced their cross-section.

In order to increase the F-16s’endurance, high-capacity conformal fuel tanks were added. These blended with the wings and fuselage, added above wing recessed weapons stations, and were fully integrated into the in-flight refueling capability. Also, the F-16s were reengined with fuel-efficient ones identical to those of Cole’s plane.

On-board an America class LHA stationed in the eastern Pacific, V/STOL refueling drones were loaded with extra drop tanks by four exoskeleton assisted sailors. The sailors loaded full tanks on all seven. Deck handlers, using remote operator packs, stewarded the drones around the deck. Another two sailors topped off the drones using a robotic refueling station. The on-deck operation looked like an Indy car pit stop.

Five drones lifted off with full loads for the F-16s. Two other larger drones would service the arsenal craft that Cole and Work piloted. The drones hailed the strike flight mission controller on board the B-42 and negotiated pairings, speeds, and altitudes. As they deployed their refueling drogues, an exchange of terahertz correlating signals autonomously guided the drones’ baskets and flight members probes to positive connections. After transferring full fuel loads, the drones dropped out of formation and the flight resumed cruise speed and altitudes.

Major Cole reviewed the entire procedure via a graphical display that signified each stage of the evolution. The unified display was projected into his eyes from emitters around the cockpit. Wherever he looked he saw the air picture around him, the running mission itinerary in the lower foreground, and labelled procedure steps associated with each F-16 and their red, yellow, or green status.

The imagery and text were sharp and stable. He needed no heavy helmet to see this holographic display. Cole thought the sunset beamed in from the fuselage cameras was beautiful this evening.

As he looked down toward the sea surface he could make out a container ship. AIS indications hovering over the IR enhanced, ship image said it was the Pacific Conveyor headed towards California. He increased magnification by stretching it with his two index fingers. The gloves he wore gave a reassuring force feedback.

He could also fly the B-42 using those gloves. They gave feedback like that of a HOTAS and his boots gave him rudder control. If need be, he could take command using only his voice. However, except for takeoff and landing, and that, only for proficiency, the B-42 mission controller did the flying.

The arsenal craft’s onboard server farm was connected with CONUS via several multispectral, encrypted, LPI channels to verify mission integrity, monitor system health, and exchange bulk C3ISR data. The craft’s infrastructure executive performed reconfigurations autonomously to maintain a specified one year MTBF. The mission executive always informed Cole of system status. He was rarely asked to intervene in decisions it made.

When the tactical situation required beyond-human speed and accuracy, the craft presented opportunities to intervene using timed aborts. The mission executive acted automatically when the countdown expired. This kept Cole’s workload down if they were under attack or in other emergencies.

As they approached the Hawaiian Islands (a contested American possession of the recently claimed Third Island chain), the B-42 woke Captain Work. Cole then reviewed with her what had happened while she slept and initiated his own sleep cycle. The integrated pilot’s position provided situation awareness via the holographic display, health and wellness monitoring and restoration, and a self-enclosing escape module.

The craft could put you asleep, wake you up, heal minor wounds, or expel you when necessary for your survival. Captain Work sometimes felt superfluous during long missions, especially because of the last of the craft’s capabilities. She wondered why they couldn’t do these missions telerobotically. Her father recently asked: “How can you be promoted when you command a bunch of robots?”

Mission parameters had changed during their transit. They’d pick up a sixth autonomous F-16 over Joint Base Pearl Harbor-Hickam. This one was optimized for supersonic combat and had a few tricks up its sleeve. Their next refueling would occur south of Yokota Air Base half way between Japan and the Philippines and the First and Second Island chains. They’d also pick up some refueling drones.

Computer aided operators at the monitoring station responsible for the ocean-observatory covering the Southwest Pacific had tracked the SSBNs. All three Type 096 Tang class ballistic missile submarines egressed from Hainan Island into the South China Sea. Two were trailed by our attack boats and knew it. Their commanders expected to be sunk if they opened their missile hatches or torpedo doors.

The third sub was acquired by two Sea Hunter class ASW Continuous Trail Unmanned Vessels. Supervisors ashore used ocean observatory data to re-vector these if necessary. Though usually employed against inexpensive Diesel-Electric boats, ACTUV was deemed the best asset to participate in this mission. This submarine was commanded by the son of one of the participants at the Geneva talks.

Initially, the PRC boomer tried to shake the first Sea Hunter by navigating under fishing fleets and through other heavy shipping traffic. The ACTUVs autonomously navigated according to COLREGS and passed safely by the obstacles. The Type 096 captain settled into a pattern at depth and speed compatible with their communications buoy. The ACTUVs did not lose it during the wait. Eventually, two more Sea Hunter class boats would join the overwatch.

The Sea Hunters tag teamed the Tang class submarine, ever watchful for a break in its pattern. It was possible it could make a dash for deeper waters after receiving orders. However, the observatory would pick that up. In any case, it would have to return to launch depth and these or some other Sea Hunters or an attack boat would be vectored to reacquire it. Such TTPs gave submarine captains pause. The supervisors in Hawaii continued to monitor the Sea Hunters’ health and operations.

As the strike flight approached the First Island chain, drones ascended from an LHD attached to Sea Base Charlie stationed west off Luzon. Captain Work watched as the drones integrated with her flight. Her foreground itinerary indicated several mission updates were passed from the drones to the arsenal craft via near-field-communications.

One update was a message from the President of the United States. She carefully listened and flagged it for Cole’s debrief package. After refueling, all but three, long-range drones returned to Sea Base. These attached to the flight to top off the constituents tanks when they set up orbit over their target.

The craft wakened Major Cole before the flight was scheduled to enter orbit around their moving target. Once the effects wore off, and they did fairly rapidly, Captain Work briefed him. What each saw in their respective fields of view were tailored for their roles and reflected personal customizations. Cole’s eyes opened wide as he listened to the President’s orders. He could not remember anything similar except from a scene in the 60’s movie Fail-safe.

The arsenal craft exchanged encrypted messages with the Sea Hunters as it approached the OPAREA. The craft would orbit at its maximum cruising altitude with the F-16s and refueling drones distributed above and below its position. The orbit had a radius of over 50 miles centered on the Sea Hunters that were trailing the Tang class SSBN. Depending on nearness, all intra-flight communications used either laser or submillimeter microwaves. These channels employed corresponding photorefractive or active retroreflective transceivers to reduce sidelobe interception and jamming.

The B-42 had been monitoring signals traffic, radar probes, and assorted other intercepts. The F-16s sent target and intercept signatures derived from their apertures to the B-42. The arsenal craft’s mission executive relayed to CONUS several new modulations that the discrimination engine identified as missing from its up-to-date database. The electronic attack module was in the process of synthesizing countermeasures for them. Both would be disseminated worldwide. The mission executive used burst transmissions to comms satellites overhead and continued to look for new signals.

Space Command had launched a constellation of nano-satellites in the days following the PRC’s destruction of some of our Defense Communications satellites. Enough satellites were taken out to cause significant coverage gaps over the Pacific during a 24 period.

A combination of contracted commercial and dedicated military launches filled those gaps in nine days. The networked, medium longevity CubeSats provided full-spectrum communications. Neither the Geostationary nor Lagrange Point satellites were affected in these attacks. However, chip-scale positioning, navigation, and timing liberated US forces from unreliable dependencies.

One of the F-16 AESA radars, in synthetic aperture mode, first detected the raid. Twelve Chengdu J-20 long-range, air-superiority fighters were headed in. Their radars would not detect the strike flight for minutes.

The arsenal craft proposed several alternative battle plans to Cole and Work. After Cole selected one of the plans, the mission controller repositioned the flight components to best achieve mission success. Cole liked the plan he picked because of the wide variety of alternative actions it offered. All the flight components were below sound speed so IRST sensor range would favor them during closure.

The mission executive aboard the arsenal craft coordinated the selected plan with the F-16s. Two of these each fired several extended range missiles and two escort decoys. The decoys broadcasted jamming signals which appeared to emanate from PL-21s, PLAN’s own long-range missiles.

These jamming signals illuminated three of the approaching fighters sufficiently for our extended range missiles to lock on and destroy their targets. The US missiles and jammers were communicating between themselves to apportion the targets they would strike. The missiles also relied secondarily on IR to in addition to PRF jittering and FH to prevent target pull-off. Onboard data fusion gave them the best candidates. The decoys impacted two more J-20s.

The B-42 used radar and IR data from the outlying F-16s and returns off the J-20s from the decoys plus the J-20s own signals to refine fire control solutions it disseminated back to the F-16s. The B-42 directed more missile and decoy salvos from the F-16s to interdict the raid before the Chengdus could acquire the arsenal craft. Almost two-thirds of the enemy raid was destroyed before the first return fire salvo was committed.

The F-16s launched decoys that simulated hundreds of B-42 and F-16 skin reflections and signal emissions for the minutes the enemy missiles were airborne. Three of those missiles were seduced into striking the decoys. The dance of chaff around the strike flight was mesmerizing. Those missiles that endured passed the arsenal craft and fell, expended, into the sea. The remaining five Chengdu fighters continued to close.

Electroluminescent panels on the F-16s and the arsenal craft blended them into the background. Each of the flight components began heat signature abatement by running fuel under their fuselage skins. Two more J-20 fighters were splashed before they could launch their PL-21s. The three remaining closed in for the kill with short-range missiles. The subsonic F-16s were running out of weapons.

By now, the F-16s had expended over three-quarters of their radar decoys. This time they employed IR ones; heat signatures were everywhere. The enemy’s ripple fired, short-range, IR missiles scattered. Only two found their marks in a subsonic F-16 and a tanker drone. When the three Chengdu fighters had launched their IR salvo, their RWRs indicated a flight of four supersonic F-22s were descending on their position.

With seconds to decide, they turned and ran. The decoys emitting F-22 and AMRAAM missile signals pursued the Chengdus out of the area. Previously, the supersonic F-16 had flown up to its maximum ceiling above intermittent cloud cover and waited until the mission plan called for its decoy intervention. It too, had suppressed it’s thermal and visible signatures and had maintained subsonic flight.

A new raid was inevitable. Cole and Work waited pensively for word on their mission goal. The mission executive informed them that real F-22s and F-35s were on their way now from forward expeditionary bases to provide CAP. They could not arrive soon enough.

The mission executive cued Cole to a priority message from STRATCOM. They got the “go code.” That meant that talks had failed and an SSBN launch was imminent. Major Cole entered his identification number and Captain Work followed within five seconds.

The mission executive verified with the Sea Hunters that they had lock on the Tang class SSBN. The doctrine module identified to the executive an impact point astern of the SSBN’s sail. The arsenal craft’s fire control module computed the trajectory, verified and validated it, and down loaded it to the two rocket-propelled torpedoes. These weren’t torpedoes in the usual sense, though.

The mission executive actuated the bomb bay doors. Immediately, Cole and Work heard an alarm and saw flashing notices that the doors would not open. The mission executive was asking for permission to jettison the doors entirely. It almost never made an untimed request for intervention. However, because the craft’s stealth signature would be gravely compromised jeopardizing both the mission and, possibly, their lives, the executive waited.

Cole knew this was no “Major Kong” moment and elected to jettison the doors. There was no way to reach the bomb bay in any case. That CAP had better be snappy, Captain Work thought. Word went out to STRATCOM from the mission executive of their situation. Confirmation appeared on the pilots’ itineraries.

One torpedo fell away. When it was clear of the craft, the rocket motor ignited and it plunged to the sea surface. Right then, the Sea Hunters relayed to the B-42’s mission executive that the SSBN hatches started to open. A synthesized image of the SSBN was visible to both pilots off the B-42’s port side. Cole and Work saw status updates as they occurred. Iconography indicated the projected torpedo aim point behind the sail and ahead of the opening hatches.

As the torpedo’s tungsten nose tip entered the water, rocket exhaust exited from its nose manifold. The exhaust created a cavitation sheath that enabled the torpedo to penetrate the water to strike the submarine. Terminal guidance directed it using water contacting fins and exhaust manifold redirection. It breached the hull, exploded, and the submarine sank without launching its missiles.

The remaining Sea Hunter declared a sub kill to the arsenal craft based on active and passive sonar signals. Additionally, Sea Hunter surface search radar picked up many new obstacles to maneuver around. F-16 GMTI data showed debris on the water surface consistent with a submarine kill. The mission executive’s threat assessment module informed both the pilots and STRATCOM of the success. Major Cole and Captain Work were relieved.

Immediately, a different alarm sounded. The mission executive identified a second raid at beyond-visual-range. Try as they might, neither pilot could see them below their icons. With their stealth compromised, four remaining subsonic F-16s low on weapons and decoys, the supersonic F-16, and two tanker drones, they were not sure what the mission executive would suggest.

Work’s jaw dropped when she saw the plan. Cole approved it and tightened his seat harness belts and tie down strap. Captain Work followed his lead.

Four J-20s carried missiles on all their external weapons stations. They would not be spooked by decoys this time. They knew what to expect. On cue, two F-22s and four AMRAAMs registered on the J-20 warning receivers. They did not veer off their intended target, the United States B-42 arsenal craft and the unmanned F-16s.

The Chengdu pilots launched a mix of PL-12s and PL-10s. The F-16s fired their missiles in return and released their remaining short-term decoys, a mix of IR and radar seducers. The F-16s interposed themselves into the enemy missile paths that would otherwise strike the B-42. Simultaneously, the F-16s AESA radars emitted jamming signals to disrupt the incoming, enemy missiles and prevent further targeting.

All four F-16s were destroyed. Of the four Chengdus, one remained. This pilot was golden, all of the B-42’s air cover was eliminated. He was the lone avenger of his fallen comrades. But where was the B-42?

In the melee, the IR seduction decoys led all the PL-10s toward the two refueling drones. The drones had ignited fuel spewing from their retracted drogues and were lit up like torches. The IR missiles struck the two drones causing a tremendous fireball. The B-42 had dived through the fireball and down like a rock to the sea surface. The mission executive then initiated the next phase of the plan.

As the PLAAF pilot half-rolled his aircraft to invert it he could see the B-42’s electroluminescent camouflage panels flickering below. This was an easy kill with two PL-12s, he thought. The pilot continued his descending half-loop headed for the B-42 far below. He’d have lock on the B-42 before his maneuver’s exit.

What the pilot didn’t realize was the coordination between the B-42 and supersonic F-16 that was now descending out of high clouds. The F-16 targeted the J-20’s underbelly with two missiles. Before the J-20 could descend half way, the AMRAAMs struck. One clipped a wing but the other penetrated the fuselage and exploded. The J-20’s bulk and fire-retardant design gained its pilot the seconds needed to eject.

The B-42 panels resumed a consistent glow blending the arsenal craft with the sea surface. The supersonic F-16 joined it to provide protection. Two minutes later, the B-42 and F-16 rose up to meet two F-35s and an F-22 that escorted them to Antonio Bautista Air Base.

Acronyms

ACTUV ASW Continuous Trail Unmanned Vessel
AESA Active Electronically Scanned Array
AFB Air Force base
AIS Automatic Identification System
AMRAAM Advanced Medium-Range Air-to-Air Missile
ASW Anti-Submarine Warfare
B US Bomber designation
CAP Combat Air Patrol
C3ISR Command, Control, Communication, Intelligence, Surveillance and Reconnaissance
COLREGS Convention on the International Regulations for Preventing Collisions at Sea
CONUS Continental United States
F US Fighter designation
FH Frequency hopping
GTMI Ground Target Moving Indicator
HOTAS Hands On Throttle-And-Stick
ISRT Intelligence, Surveillance, Reconnaissance, and Targeting
J PRC Fighter designation
LHA Landing Helicopter Assault
LHD Landing Helicopter Dock
LPI Low Probability of Intercept
MTBF Mean Time Between Failures
OPAREA Operating Area
PL PRC Missile Designation
PL-10 PRC short range, IR guided missile similar to AIM-9X Sidewinder
PL-12 PRC medium range, radar guided missile similar to AMRAAM
PL-21 PRC long range, radar guided missile similar to MBDA Mica or Aster
PLAAF People’s Liberation Army Air Force
PLAN People’s Liberation Army Navy
PRC People’s Republic of China
PRF Pulse Repetition Frequency
RWR Radar Warning Receiver
SAR Synthetic Aperture Radar
SSBN Strategic Submarine Ballistic Nuclear
STRATCOM Strategic Command
TTP Tactics, Techniques, and Procedures
US United States
V/STOL Vertical and/or Short Take-Off and Landing

Envisioning the Third Offset – Essay Contest

Atlantic Council’s Art of Future Warfare project held an essay competition titled: Envisioning the Third Offset: The Future of the American Way of War. The winners were announced at the 2016 Global Strategy Forum: America’s Role in a Changing World which took place May 2 – 3, 2016. Project Director and Nonresident Senior Fellow August Cole announced the competition winner, interviewed Deputy Secretary of Defense Robert Work, and presented the Secretary with twenty of the essays.

The Art of the Future Warfare project was created to stimulate warfighters and policy makers imaginations with works of fiction and art.

The Art of the Future on YouTube

In November 2014, the Department of Defense announced the Third Offset Strategy as a means to gain overwhelming advantage in future wars. The Third offset consists of human–computer collaboration to meld human reasoning with computing power to enhance space, air, sea, undersea, ground, and cyber operations. The first offset was based on nuclear weapons and the second offset employed precision guided munitions and stealth technology.

The Third Offset Strategy has five components: Autonomous Learning Systems (e.g., new signals acquisition, analysis, and attack in real or near real-time), Human-Machine Collaboration (e.g., automated executive able to accelerate human’s observe-orient-decide-act loop), Assisted Human Operations (e.g., exoskeletons), Manned-Unmanned Combat Teaming (e.g., swarming drones assisting manned planes), Hardened and Network-Enabled Autonomous Weapons (e.g., automating diversity and encryption to secure battle networks in denied environments.)

Our entry, Envisioning the Third Offset — Conflict in the South China Sea did not win. We suspect it was because it was too much like a fictionalized Concept of Operations rather than the literature other contestants submitted. Their work is available on the site. Our entry will be posted shortly.

Surveillance Probability – O. D. Grace

Recently, I analyzed a surveillance problem for a C3ISR company and applied analysis from O. Donn Grace’s Sonar and Anti-Submarine Warfare, Chapter 14, Operational Performance. The analysis directly applies to active (sonar or radar) search but I applied it to the passive case using Washburn’s integral technique.

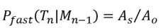
The probability of declaration (detection, classification, etc.) after N tries is:

 

 

 

where PD is the probability of declaration of a target in an interrogation cell due to signal and/or data processing in that cell. This probability is held to be constant over the search area (i.e., a ‘mean value’ approximation). The probability P(Tn|Mn-1) is the measure that the target is declared in some search cell within a surveillance or operational area on the nth trial given that it was missed in all prior trials. This result is due to a Bayesian relationship developed in the text.

If a target moves quickly in the surveillance field such that each search area is non-overlapping then

 

 

where As is the illuminated (or ensonified) search area (within which the declaration cells lie) and Ao is the operational area.

If a target moves slowly (i.e., is fixed) in the search area then each scan is correlated to the next (overlapping areas) and

 

where this equation is derived from Bayes theorem and the chain rule. Both the fast and slow probabilities are equal on the first scan. The slow probability is asymptotic to zero on further scans whereas the fast probability remains constant scan to scan or interrogation to interrogation.

The cumulative probability for fast or slow targets with, for example, PD = 0.5 and As/Ao = 0.3 are plotted versus scan number in this figure:

The operational area may be subdivided to increase the search to operational area ratio at the expense of more search sensors.

Pivoting

We, at Renormalization Group LLC, are pivoting to find the best combination of activities that will increase our overall sales. As a result, we’ve started a second business to take up the slack in this one. We hope to sustain both going forward. Please feel free to contact us with your problems.

Left Right Ambiguity Resolution

Left/right target discrimination is important for targeting. Passive acoustic line arrays composed of simple monopole elements are naturally L/R ambiguous. Various techniques are possible with today’s technologies. The most recent is the development of miniaturized passive acoustic elements that support formation of acoustic dipoles as well as monopoles and, therefore, through judicious combination, cardioid responses. Cardioid processing forms the deepest nulls when the elements (real or virtual) used to create the dipole response are a quarter wavelength in separation. These elements have been in development for a long time.  Systems using these elements are more costly in both recurring hardware and in processing than those using L/R ambiguous hardware and processing.

Older technology elements similar in principle to those described above were structured in vertical arrays as a part of sonobuoys. These arrays became quite cheap since they were expendable. However, in an effort to acquire L/R ambiguity resolution ability at low cost for passive towed arrays, at least two earlier techniques were tried. The first uses so-called array wander to discriminate between left and right targets from a line array. The target response measured from the output of left and right beamformers gives a discernible indication (differing signal levels) that breaks the ambiguity. The technique hinges on accurately measuring the array shape as input for the beamformers.

The second approach harkens back to sonobuoy processing. Here, two (or more) line arrays are towed at some separation. Both line arrays are beamformed together. Left and right cardioid responses  are created by forming dipole and monopole virtual elements between physical elements of the two arrays. These cardioids  are beamformed into left and right array responses. Targets have enhanced response from the corresponding beamformer and suppressed response from the opposite beamformer. Although knowing the array shapes helps beamformer fidelity it is not the primary mechanism for left/right  discrimination.

Similar techniques apply for hull mounted line arrays at low-frequency where sound diffracts around the hull. Since these arrays do not wander, L/R target discrimination similar to the first approach relies on the differing left and right target track responses to platform motion. This technique is similar only in so far as the array motion is used to break the ambiguity. The second approach requires deterministic element equalization to form dipoles and monopoles. Obviously, the deepest nulls form when the dipole elements are quarter wavelength separated in either the hull mount or towed cases. This may occur at a frequency other than that corresponding to the array design separation(s).

Shnidman’s Equation

It is notoriously difficult to evaluate receiver operating characteristic curves exactly. This is due to the complexity of these expressions in terms of incomplete Gamma, incomplete Toronto, confluent hypergeometric functions or other special functions. Albersheim fit a set of parametric curves to the exact expression of an ROC curve for a receive chain with a filter, linear detector and independent sample integration. His fit applied to within 0.2 dB of the exact curves for a wide range of detection and false alarm probabilities, non-coherent independent sample averaging and signal to noise ratios. However, his fit modeled only non-fluctuating statistical signals.

Shnidman provides an empirical fit applicable to non-fluctuating and Swerling 1 – 4 fluctuating signals and square law detection. Square law detection is usually implemented given today’s floating point signal processing.  The trade-off is that the equations are accurate to only 0.5 dB over a smaller range (1 – 100 versus 1 – 8096) of independent samples. The expressions are valid for a wider range of detection probabilities (0.99 versus 0.9 at the upper end of the range) and a wider range of false alarm probabilities (10^-9 versus 10^-7 at the lower end of the range). Richards provides a complete summary with algorithms for both Albersheim’s and Shnidman’s curves. Either is easy to program into an Excel spreadsheet using that program’s Visual Basic for Applications or into Matlab.

One can use this receiver operating characteristic curve to relate correct and false classification probabilities through detection and false alert probabilities (using auxiliary expressions) to detector output signal to noise ratio and, via a range equation (or propagation curve), to a detectable range.

Regression Using Machine Learning Algorithms

Machine Learning has been applied in earnest to multi-dimensional, nonlinear, data regression since the 1980’s. Many of these methods fall into the category of Bayesian Interpolation. Proponents, such as Mackay, Williams, Rasmussen and Tipping, have investigated Neural Network, Gaussian Process, Relevance Vector Machine and other methods. All these methods rely on training and testing using sets of known inputs and outputs (sometimes) to set pertinent algorithm parameters. The parameters characterize the training data and enable the algorithm to perform well on the test data.

The Relevance Vector Machine (RVM) method is attractive because it has a closed form iterative training solution and provides good interpolation using a weighted linear combination over a sparse basis function set. The RVM is a form of Support Vector Machine (SVM) derivable from a Bayesian cost function and is unlimited as to the nature of basis functions that can be employed. SVM requires the use of symmetric, positive definite, basis functions called Mercer kernels. An appropriate choice of kernels can reduce the fit error substantially. Figures 4 and 5 from “Sparse Bayesian Learning and the Relevance Vector Machine”, Michael Tipping, Journal of Machine Learning Research 1 (2001) pp. 211 – 244, dramatically illustrate how the right kernel choice is important. Figure 4 in “Bayesian Inference: An Introduction to Principles and Practice in Machine Learning”, Michael Tipping, in O. Bousquet, U von Luxburg, and g. Ratsch (Eds.), Advanced Lectures on Machine Learning, pp. 41-62, Springer, shows how added training data refines the interpolative estimate and weight distributions.

The paper “Fast Marginal Likelihood Maximization for Sparse Bayesian Models”, Michael Tipping and Anita Faul, In C. M. Bishop and B. J. Frey (Eds.), Proceedings of the Ninth International Workshop on Artificial Intelligence and Statistics, Key West, FL, Jan 3-6, provides a ‘fast’ version of the iterative training algorithm. The derivation is analyzed in “Analysis of Sparse Bayesian Learning”, Anita Faul and Michael Tipping, in T. Dietterich, S. Becker, and Z. Ghahramani, editors, Advances in Neural Information Processing Systems 14, pp. 383 – 389, MIT Press, 2002.

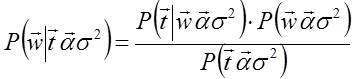
The least evident expression used in these papers is:

However, it is not immediately obvious how this formula follows from Bayes Theorem.

Applying Bayes Theorem to the weight vector probability density conditioned by the training set, weight variance and training data noise variance on the left hand side (LHS) yields:

By dividing top and bottom of the RHS by  we get:

where the struck through variables are not applicable to the distributions due to an observation by Tristan Fletcher, another worker in the Machine Learning field.

Removing the superfluous dependencies results in:

which is equation 31 (or 5), the only mysterious expression in Tipping’s and Tipping and Faul’s RVM accounts, respectively.

Rasmussen and Candela in “Healing the Relevance Vector Machine through Augmentation”, Proceedings of the 22nd International Conference on Machine Learning, Bonn, Germany, 2005, take exception to RVM’s sparsity when it does not result in a correct uncertainty estimate. Their corrective approach changes the interpolation little and restores the correct uncertainty estimate at the expense of kernel sparsity. They do not recommend using their approach in practice when the uncertainty estimate is unimportant. Tipping anticipated this result in an appendix of the first paper cited above.

Bayesian methods are usually used to fit noisy data and extract, in some sense, the underlying system model. The noise parameter may be small but the approach does not support a zero value. This implies an irreducible residual for the case of deterministic, zero noise data.

Most Bayesian regression methods have related uses as classifiers.

New Post Due Shortly

We submitted a Small Business Innovative Research proposal to the US Navy at the end of September. The research involved Bayesian regression. We compiled substantive data on various approaches. A new post will appear shortly highlighting our findings. Our embarkation on a second business enterprise occupied our time during October and November.

W. H. Foy, Position Location Solutions by Taylor-Series Estimation

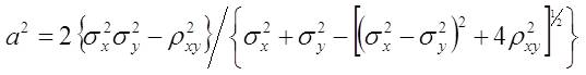
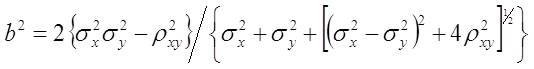
Foy presents a simplified, general method for position-location estimation and error based on Taylor series expansion instead of Kalman filtering. The method is iterative and almost always converges. The Taylor series approach is less computationally intensive. Modeling position and error with this approach explicitly incorporates sensor error and geometric dilution of precision in a deterministic (versus Monte Carlo) way. The approach applies to any trajectory. Two unique items in Foy’s presentation are an expression for circle error probable (CEP) and application of his technique to lines of position; direction finding; angle, range and range difference; and mixed mode measurements.

Foy expresses CEP as an approximation with no more than 11 percent error (due to error distribution within the circle):

 

where a and b are error ellipse semi-major and semi-minor axes (assuming a Gaussian distribution). The axes are expressed in terms of measurement covariances:

 

and

 

Those covariances are expressed in terms of various sensor errors and geometries in examples.