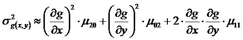
Papoulis‘ first edition differs from later ones that added more contemporary subjects such as coding theory. The early text contains several equations that are useful for systems engineering modeling. The best example is the approximate formula for the variance of an arbitrary function of two random variables (7-77):
The two random variables can have any joint distribution, no assumption is made. The approximation is consistent to second order in the joint central moments. The equation is very useful to model the variance of nonlinear estimators such as a three beam bearing interpolator or an interesting detection or classification test statistic.
Papuolis documents moments for various probability distributions (pp 145 – 149, first edition). He derives Price’s theorem for moments of nonlinear functions of normal random variables (pp 226 – 228, first edition). The latter is useful for nonlinear detector analyses and other nonlinear random processes. On pages 483 – 485, he discusses the clipper correlator, once very useful (and may be so again). The text is dense but a wonderful reference for systems engineering.







